2025最新免费电影在线_海角社交社区_海角天涯社交平台入口
网站首页
学院概况
师资队伍
学生工作
新闻动态
招生就业
党建工会
本科生教育
研究生教育
科研工作
学科建设
实验室安全建设
研究生教育
海角社交社区
招生工作
培养工作
学位工作
文件下载
您现在的位置:
网站首页
>
研究生教育
>
海角社交社区
> 正文
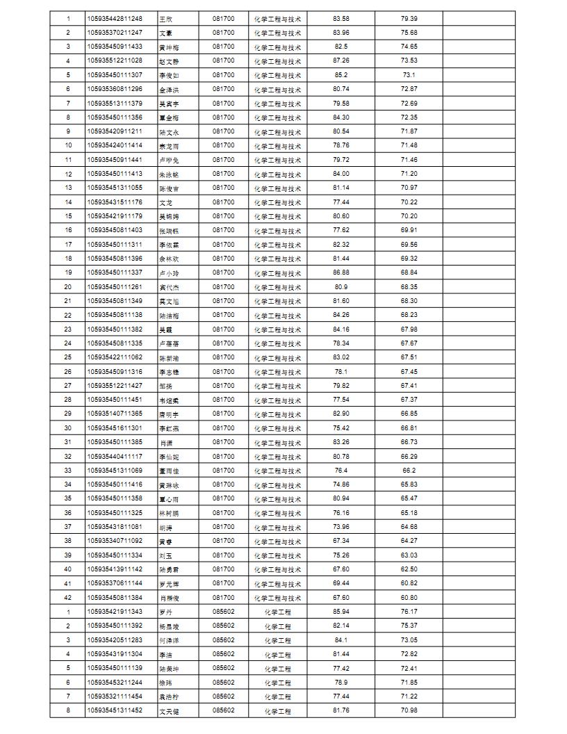
2025年硕士研究生招生一志愿复试成绩公示
2025-03-25 12:02
阅读:
编辑:化学化工学院
上一篇:2025年硕士研究生招生调剂拟复试名单公示
下一篇:2025年硕士研究生招生一志愿考生拟复试名单公示